L’objectif de cet exercice est d’étudier comment la physique peut être utile au vigneron pour mesurer le niveau
de remplissage de la cuve de stockage, contrôler la température du jus de raisin et en déterminer le taux de
sucre au cours de la fermentation.
1. Étude du principe du capteur de niveau.
La cuve de stockage est équipée d’un capteur de niveau de type capacitif permettant de contrôler la hauteur
de liquide.
Ce capteur est constitué d’une tige conductrice recouverte d’une très fine couche d’isolant. Lorsque celle-ci
trempe dans un liquide conducteur, comme le jus de raisin, elle constitue une des armatures d’un
condensateur et le liquide en constitue l’autre. On considère pour simplifier que l’ensemble se comporte
comme un condensateur plan.
On souhaite étudier en laboratoire le principe de ce capteur et l’influence de la hauteur de liquide sur le
comportement d’un tel condensateur en réalisant le montage représenté :
- une feuille d’aluminium rectangulaire de largeur
l = 41 cm constitue l’armature 1 du condensateur ;
- une feuille plastifiée d’épaisseur e = 80 µm de polyester joue le rôle d’isolant ;
- la plaque, formée par la feuille d’aluminium et la feuille plastifiée, est plongée dans un récipient et en
touche le fond. Elle est en contact sur une hauteur h avec un liquide conducteur qui joue le rôle de
l’armature 2 du condensateur ;
- un fil dénudé permet d’établir un contact électrique avec le liquide.

la surface S
C de chaque armature du dispositif expérimental s’exprime par la relation : S
C = h·
l ;
la capacité C du condensateur plan de ce dispositif s’exprime par la relation : C =
e S
C / e avec C en
farad (F), S
C en m
2, e en m et
e, grandeur caractéristique de l’isolant appelée permittivité, exprimée
en F·m
–1.
Q1. Expliquer pourquoi ce capteur ne peut pas être utilisé dans un liquide isolant
La seconde armature du condensateur est constituée par le liquide. Cette armature ( donc le liquide) doit être conductrice.
Q2. Préciser si la capacité C du condensateur augmente ou diminue lorsque la hauteur h de liquide dans
lequel l’ensemble est plongé augmente.
Si h augmente, S
C croît et en conséquence la capacité C augmente.
Pour mesurer la valeur de la capacité du condensateur, on réalise le circuit électrique représenté ci-dessous.
Il comporte :
- un générateur idéal de tension E = 5,0 V ;
- un conducteur ohmique de résistance R = 6,0×10
6 ohms ;
- le dispositif expérimental ci-dessus jouant le rôle d’un condensateur de capacité C ;
- un interrupteur à deux positions.

L’interrupteur est préalablement placé en position 1 afin de décharger le condensateur. À l’instant t = 0, le
condensateur est déchargé et l’interrupteur est basculé en position 2.
Q3. Montrer que, lors de sa charge, la tension u
C(t) aux bornes du condensateur obéit à l’équation différentielle
suivante : Additivité des tensions : U
R(t) +U
C(t) = E.
Ri(t) +
UC(t) = E.
i(t) = C dUC(t) / dt.
RC dUC(t) / dt +UC(t) = E.
dUC(t) / dt +UC(t) / (RC)= E / (RC).
Q4. La tension d’expression u
C(t)= A·exp(– t /
t) + B est solution de cette équation différentielle. Déterminer, en
fonction des paramètres E, R et C, les expressions des constantes A, B et
t adaptées aux conditions de
l’expérience.
t = RC.
Au bout d'un temps suffisamment long u
C(t) = E =0+B.
u(t=0)=0= A +B ; A = -B = -E.
u
C(t) = E(1-
exp(– t / t)).
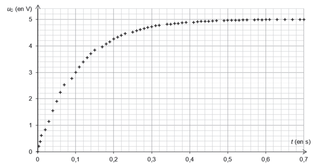
On réalise une première expérience de charge du condensateur pour une hauteur h
test de liquide. La figure ci-dessous
représente l’évolution temporelle de la tension u
C(t) aux bornes de ce condensateur.
Au bout de 0,5 s, u
C(t) = E.
5
t= 0,5 ; t = 0,1 = RC.
C = 0,1 / (6,0 10
6)~1,67 10
-8 F.
L’expérience est reproduite pour différentes hauteurs h de liquide. La représentation graphique de la variation
de la capacité du condensateur en fonction de la hauteur de liquide est donnée. Une droite de
modélisation y a été tracée.
Q5. À l’aide des figures, déterminer la hauteur h
test de liquide utilisée dans la première expérience.
Coefficient directeur de la droite : (33-1) / 23 ~1,4 nF cm-1= 1,4 10-9 F cm-1.
Equation de la droite : C = 1,4 10-9h +1.
1,67 10-8=1,4 10-9 htest+1 ; htest= 1,67 / 0,14 -1~ 11 cm.