Aurélie 10/04/11
 

 

  Ultrasons, plan incliné avec frottement solide : concours kiné Berck 2011.

En poursuivant votre navigation sur ce site, vous acceptez l’utilisation de Cookies vous proposant des publicités adaptées à vos centres d’intérêts.


. .
.
.


Exercice 1.
On considère une canalisation horizontale cylindrique de diamètre D, dans laquelle s'écoule du pétrole à la vitesse v constante. Pour déterminer cette vitesse d'écoulement on a placé à l'intérieur de la canalisation deux transducteurs à ultrasons A et B. Ces derniers sont placés à une distance L l'un de l'autre. Ils peuvent fonctionner comme émetteur ou récepteur d'ultrasons. On rappelle que les ultrasons sont des ondes sonores inaudibles par l'homme de fréquence supérieure à 20 kHz. On désignera par c la célérité des ultrasons dans le pétrole au repos.

Le sens de l'écoulement du pétrole dans la canalisation est de A vers B. On admettra que la vitesse des ultrasons est :
c+v si les ultrasons se propagent dans le même sens que le pétrole
et c-v s'ils se propagent en sens contraire à l'écoulement.
Dans le pétrole en mouvement on effectue les mesures suivantes :
- le transducteur A émet un bref signal ultrasonore que le tranducteur B reçoit au bout d'une durée t1 ;
- le transducteur B émet un bref signal ultrasonore que le transducteur A reçoit au bout d'une durée t2.
On négligera les forces de frottements des particules liquides entre elles et avec les parois de la canalisation.



On donne Dt = t2-t1 = 4,00 µs ; L = 2,50 m ; D = 1,00 m ; c = 1,50 km/s.
On appelle débit volumique Q le volume de pétrole passant par une section droite verticale de la canalisation, en une seconde. Le débit volumique est égal au produit de l'aire de la section traversée par la vitesse d'écoulement.

 

Exprimer t1 en fonction de L, c et v.
L = (c+v)t1.
Exprimer t2 en fonction de L, c et v.
L = (c-v)t2.
Calculer la vitesse d'écoulement v ( en m/s) du pétrole dans la canalisation.
Dt = t2-t1 =L / (c-v)- L / (c+v) = L 2 v / (c2-v2)
Hypothèse :
(c2-v2)~ c2; d'où v ~ Dt c2 / (2L) ~4 10-6 *15002 / 5 =1,80 m/s.
L'hypothèse est bien vérifiée.
En déduire le débit volumique Q ( m3 s-1) du pétrole dans la canalisation.
Section S = 3,14 D2/4 =3,14/4 =0,785 m2.
Q = S v = 0,785*1,8 =1,413~1,41
m3 s-1.
On souhaite maintenir le même débit volumique dans une canalisation cylindrique horizontale de diamètre D' =75,0 cm.
En déduire la vitese d'écoulement v' (en m/s) du pétrole dans la canalisation.
S' =3,14 *0,7502 / 4 = 0,44156 m2.
v' = Q / S' = 1,413 /
0,44156 =3,20 m/s. 





Un banc à coussin d'air est constitué d'un railpercé de trous et relié à une soufflerie. Le rail est incliné d'un angle a par  rapport à l'horizontale. Un mobile S de masse m peut glisser sur ce rail. la longueur du mobile est L. Le coussin d'air permet de limiter les frottements exercés par le rail sur le mobile. On négligera l'action de l'air sur le mobile.

L'origine O de l'axe correspond à l'extrémité supérieure du rail, l'extrémité inférieure du rail est notée P. On repèrera la position du point M situé à l'avant du mobile, par l'abscisse x.
Le mobile est lâché sans vitesse initiale, à un instant pris comme origine des temps.
A cet instant t=0, la position du point M est x0=L.
On admettra que le mobile  est soumis à une force de frottement de direction parallèle à l'axe des rails, de sens opposé au mouvement et de valeur constante f.
Deux photocapteurs situés aux positions x1 er x2 sont reliés à un chronomètre électronique.
Le passage du point M en x1 déclenche le chronomètre et son passage en x2 le stoppe. La durée correspondante est notée Dt.
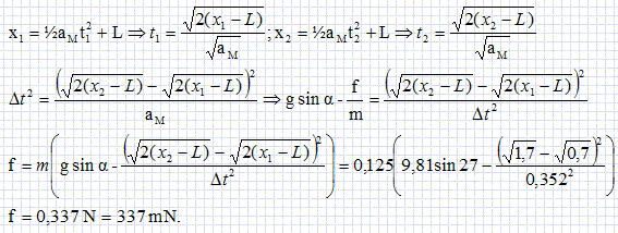
On donne : a = 27,0° ; m = 125 g ; L = 5,00 cm ; OP =145 cm ; Dt = 352 ms ; x1 =40,0 cm ; x2 = 90,0 cm.
Etablir l'expression de l'accélération aM du point M, à un instant t quelconque en fonction de g, a, m et f.

En déduire l'expression de la position x du point M, à un instant t quelconque, en fonction de L, g, a, m et f.


Calculer la valeur de f ( en mN).







Déterminer la valeur vP ( en m/s) de la vitesse du point M lorsqu'il atteint l'extrémité du rail.
vP2 -0 = 2aM(OP-L)
aM=g sin a- f/ m =9,81*sin 27 -0,33733 / 0,125 =1,7568 ms-2.
vP2 = 2*1,7568 *1,4 =4,914 ; vP =2,2178 ~2,22 m/s.

On notera tP l'instant de passage du point M à l'extrémité du rail.
Calculer la variation d'énergie mécanique DEm ( en mJ) du mobile S entre l'instant initial et l'instant tP.
La diminution de l'énergie mécanique DEm  est  égale au travail des frottements entre O et P.
DEm  = -f(OP-L) = -0,33733*1,4 = -0,472 J = -472 mJ.







menu