|
.
.
|
|
|
Cette
méthode est une technique optique de mesure de vitesses d'écoulements
de fluides. Elle repose sur la génération au sein du fluide de franges
d'interférences obtenues par recouvrement de deux faisceaux lasers. Quelques
particules solides réfléchissantes ensemencent l'écoulement. Entraînées
par le fluide, elles émettent un clignotement lumineux qui est
enregistré, lorsqu'elles passent dans une zone des franges sombres et
brillantes. De la fréquence de ce clignotement, on peut en déduire la
vitesse de ces particules donc, de celle de l'écoulement.
Réalisation d'interférences. On
considère deux ondes lumineuses progressives sinusoïdales produites par
des lasers. On montre qu'il est nécessaire,afin d'obtenir des
interférences,que ces ondes aient exactement les mêmes fréquences et
certaines caractéristiques de phase identiques. Ces conditions
extrêmement exigeantes font qu'il est quasiment impossible d'obtenir ce
phénomène avec deux sources lumineuses différentes. Pour cette raison,
on procède la plupart du temps par"division" d'une onde lumineuse
primaire en deux ondes lumineuses secondaires de mêmes caractéristiques
intrinsèques. De plus, le dispositif à "division" considéré ici est
parfaitement symétrique en se sens qu'il sépare l'énergie qu'il reçoit
en deux ondes lumineuses secondaires strictement égales. Le schéma
général du dispositif est présenté ci-dessous :
 M1, M2, M3
sont des miroirs ; S est une lame semi-transparente qui réalise la
"division". La moitié du faisceau incident passe à travers cette lame
tandis que l'autre moitié s'y réfléchit. L est une lentille
convergente. E désigne l'écoulement ; P est un traceur de l'écoulement
c'est à dire une particule injectée. Le détecteur dont le temps de
réponse est td enregistre le clignotement. La
zone des franges correspond au lieu de recouvrement des faisceaux 1 et
2. Celle-ci est schématisée plus précisément ci-dessous :

Les amplitudes lumineuses des faisceaux se recouvrant sont respectivement : pour l'onde 1 :  pour l'onde 2 :  we et le correspondent aux pulsation et longueur d'onde de ces ondes lumineuses et e1 et e2 désignent des vecteurs unitaires qui donnent le sens de propagation de chacun des faisceaux.
Quelle est
la relation entre we et le ?
we = 2 p f et f = c/ le ; f : fréquence de l'onde et c : célérité de l'onde. we = 2 p c/ le .
|
Montrer que l'amplitude lumineuse résultant de la superposition des deux ondes vaut, dans la zone de recouvrement :
 On va utiliser la relation cos p + cos q = 2 cos (½(p+q)) cos(½(p-q)).

Eclairement. En comparant les valeurs de la priode T des sigauux optiques du domaine visible et le temps d'intégration td du détecteur, préciser quelle inégalité prévaut dans ces expériences. Le détecteur utilisé a un temps de réponse de quelques nanosecondes.. Longueur d'onde du visible à la limite des UV : lv = 400 nm ; Tv = lv / c =400 10-9 / (3,0 108) = 1,3 10-15 s. Longueur d'onde du visible à la limite des IR : lR = 800 nm ; TR = lR / c =800 10-9 / (3,0 108) = 2,7 10-15 s. Tv << td ; TRv << td. Le détecteur va donc enregistrer la moyenne du signal reçu.
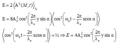
Montrer que l'amplitude totale s'écrit :


L'éclairement
ou intensité luminsuese s'obtient à partir du carré de
l'amplitude A(M,t) de l'onde lumineuse moyenné sur le temps
d'intégration du détecteur. Montrer que l'éclairement vaut : 
Franges. Tracer E(y) sur quelques périodes.
La fonction cos2 a une période égale à p radian. 2 p sin a / le période = p ; période i = le /(2sin a).

On
observe périodiquement un éclairement maximum et un éclairement nul,
c'est à dire une alternance de zones brillantes et de zones sombres. Calculer l'interfrange i = le /(2sin a). le =514,5 nm ; a =1,70° = 1,70*3,14/180 rad = 0,0297 rad. i = 514,5 10-9 / (2*0,0297) =8,67 10-6 m = 8,67 µm. Ces franges ne sont pas observables à l'oil nu, d'où la nécessité d'un détecteur. Choix des particules. Le
dispositif est destiné à mesurer la vitesse du fluide dans le
référentiel du laboratoire. Dans ce but, de fines particules sont
injectées puis entraînées par l'écoulement, jouant ainsi le rôle
de traceurs. Est-il préférable de choisir des particules lourdes ou légères ? Des particules légères seront entraînées à la vitesse du fluide, contrairement aux particules lourdes. Pourquoi choisit-on de travailler avec de faibles concentrations en traceurs ? Les particules doivent émettre un clignotement lumineux qui est
enregistré lors de leur passage dans la zone d'interférence. Il ne faut donc pas quelles soient trop nombreuses. Donner
un ordre de grandeur du diamètre de ces particules, supposées
sphériques, qui permettrait une bonne exploitation de cette technique. Si on veut observer un clignotement, le diamètre des particules doit être inférieur à l'interfrange i. Le diamètre des particules doit être de l'ordre de quelques micromètres.
|
Exploitation. Ecrire l'équation horaire du mouvement d'une particule injectée en fonction du temps et de sa vitesse V supposée uniforme et parallèle àla direction Oy, dans le référentiel du laboratoire, supposé galiléen. A la date t=0 la particule se trouve dans le plan d'équation y =0. yP(t) = V t. Chaque
fois que cette particule passe dans une région brillante, elle diffuse
de la lumière dans toutes les directions. Le détecteur enregistre
l'éclairement diffusé En déduire l'allure du chronogramme de cet enregistrement. Les
particules traversent périodiquement des zones alternativement
brillantes et sombres. La distance entre deux zones consécutives de
même nature est égale à l'interfrange i = le /(2sin a). La période du clignotemment est donc T = i / V = le /(2V sin a). A.N : fréquence du clignotement f = 1,153 MHz. V = i /T = i f = 8,67 10-6 *1,153 106 ~ 10 m/s. Si la mesure de la fréquence est précise à 0,1 %. En ne tenant pas compte des incertitudes sur les autres gandeurs que vaut l'incertitude sur la vitesse ? dV = 10-3 V = 0,01 m/s. Cette
méthode est précise si le système de franges d'interférences est
parfaitement orienté par rapport à la direction de l'écoulement. D'autre part les particules injectées doivent être inertes vis à vis du fluide.
|