Etude des
phéromones,
concours kiné Assas 2013
En poursuivant votre navigation sur ce site, vous acceptez l’utilisation de Cookies vous proposant des publicités adaptées à vos centres d’intérêts.
|
|
.
.
|
|
|
|
|
|
|
Les formules topologiques A et B suivantes représentent de phéromones.
Entourer et nommer les groupes caractéristiques qu'elles contiennent.

Donner le nom de la molécule A en nomenclature officielle. éthanoate de 3-méthylbutyle.
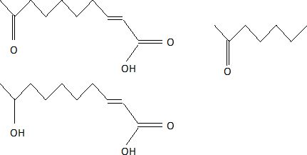
La phéromone royale émise par la reine des abeilles a pour formule semi-développée :
CH3-CO-(CH2)5-CH=CH-COOH.
Pour défendre la ruche, une abeille ouvrière utilise une phéromone
d'alarme dont l'un des composés a pour formule semi-développée :
CH3-CO-(CH2)4-CH3.
Une troisiéme phéromone de rassemblement des abeilles domestiques de formule semi-développée
CH3-CHOH-(CH2)5-CH=CH-COOH
est utilisée par l'apiculteur pour récupérer les essaims.
Recopier
les formules de la phéromone royale et de la phéromone de rassemblement
des abeilles, entourer les groupes fonctionnels qui les différencient
et les identifier.
Donner la formule brute de la phéromone d'alarme. C7H14O.
|
|
|
Nommer
le groupement caractéristique de la phéromone d'alarme et proposer un
ou plusieurs test(s) permettant de le caractériser. Qu'observe-t-on au
cours de ce(s) test(s) ? Le groupe cétone donne un test
positif à la 2,4-DNPH ( précipité jaune) et un test négatif à la
liqueur de Fehling ( absence de précipité rouge brique).
Donner la formule semi-développée d'un isomère de la phéromone d'alarme. Identifier et nommer le groupe caractéristique présent.

Quel(s) test(s) peut-on proposer pour identifier le groupe fonctionnel de cet isomère de fonction ?
Le
groupe aldehyde donne un test positif à la 2,4-DNPH ( précipité jaune) et
un test positif à la liqueur de Fehling ( précipité rouge
brique).
|
.
|
|
Quel est le type d'isomérie spatiale présenté par la phéromone royale ?
Diastéréoisomère de type Z E.
Donner les représentation de Cram des isomères spatiaux de la phéromone royale.

Donner une formule topologique de chacune des trois phéromones étudiées.

Quel(s) est (sont) le(s) type(s) d'isomérie spatiale présenté(s) par la phéromone de rassemblement ?
Diastéréoisomères ( Z E) du fait de la double liaison C=C portant des groupes différents.
Enantiomères du fait de la présence d'un atome de carbone asymétrique.
|
|
|