Agitation
thermique et diffusion. Second
concours, école normale supérieure
2012
En poursuivant votre navigation sur ce site, vous acceptez l’utilisation de Cookies vous proposant des publicités adaptées à vos centres d’intérêts.
|
|
.
.
|
|
|
|
|
|
|
|
Aux
forces mécaniques agissant sur les protéines et les cellules s’ajoutent
des forces thermiques issues de la collision avec l’eau et les autres
molécules dans le fluide.
Pendant chaque courte collision, le changement de quantité de mouvement
des molécules de
fluide induit une force spontanée sur l’objet frappé. Ces forces de
collision sont appelées
forces thermiques car leur amplitude est proportionnelle à la
température du fluide. Le
mouvement résultant est appelé mouvement thermique. Etant donné que ces
forces sont
dirigées de manière aléatoire, le mouvement est caractérisé par de
fréquents changements de
direction et est appelé diffusion. La diffusion d’une particule libre
est également appelée
mouvement Brownien.
La diffusion est une forme de mouvement aléatoire qui est caractérisée
par de
fréquents et abrupts changements de direction. Le caractère aléatoire
est le résultat de
collisions avec les molécules du milieu, qui elles-mêmes se déplacent
de manière aléatoire. La
conséquence du mouvement aléatoire des molécules est qu’en moyenne les
molécules ont
tendance à se déplacer des régions de hautes concentrations vers les
régions de basses
concentrations. On peut ainsi montrer que, dans un système
unidimensionnel, le flux de
particule Jdiffusion(x), défini comme le nombre
de molécules traversant une surface par unités de
temps et de surface, est proportionnelle au gradient de concentration
dc/dx et vérifie
l’équation suivante :
J diffusion(x) = -D dc/dx (x).
avec c(x) la concentration de molécules à la position x (en molécules /
m3) et D le coefficient de
diffusion de la particule.
Dans un système unidimensionnel, la redistribution d’une distribution
non uniforme de
particules au cours du temps est caractérisée par l’équation suivante :

On définit la densité de probabilité p(x) de trouver une particule à la
position x par :
p(x) = c(x) / N avec N la concentration totale de molécules.
On définit également le flux de densité de probabilité par :
jdiffusion (x) = Jdiffusion
(x)/N.
On considère une particule se déplaçant dans un fluide avec un
coefficient de frottement g et
un coefficient de diffusion D. Une force externe F(x) agissant sur la
particule diffusante cause
sa dérive à la vitesse stationnaire vdérive(x).
Un flux additionnel Jdérive(x) = vderive(x)
. c(x)
s’ajoute alors au flux Jdiffusion(x) résultant
de la diffusion.
27.
Donner, en justifiant par une analyse dimensionnelle, les unités du
coefficient de diffusion D.
[Jdiffusion(x))=
molécules T-1 L-2 ; [dc/dx (x)] = molécules L-4
; [D]=T -1 L2.
28. Écrire vdérive(x)
en fonction de F(x) et des constantes du problème.
A
l'état stationnaire g
vderive(x) =F(x).
29. En déduire
l’expression du flux global de densité de probabilité
j(x) = jdiffusion(x) + jdérive(x)
(avec jdérive(x) = Jdérive(x) /
N) en fonction de D, g,
F(x) et p(x).
j(x)
=Jdiffusion / N + vderive(x) . c(x) / N.
j(x)
=Jdiffusion / N +F(x)
c(x) / (Ng).
j(x) =-D dc/dx (x)/ N + F(x)
c(x) / (Ng).
j(x)
=-D dp/dx (x) + F(x)
p(x) / g.
30.
Montrer qu’à l’état stationnaire en présence d’une force F(x), la
densité de probabilité p(x) vérifie l’équation suivante avec E une
constante que l’on explicitera en fonction des constantes du problème
et j0 le flux de densité de probabilité à l’état
stationnaire.
j0 /D= - dp/dx (x) + F(x)
p(x) /(D g).
On pose E =D
g.
dp/dx (x) - F(x)
p(x) / E= -j0 /D. (1).
31. Montrer qu’à
l’état stationnaire, la densité de probabilité peut s’écrire sous la
forme :
p(x) = [A − j0 / D B(x) ]exp( −U(x)/ E)
où
A est une constante, B(x) est une fonction de x vérifiant dB/dx =
exp[U(x)/E], U(x) est l’énergie potentielle d’une particule à la
position x associée à la force F(x) définie par F(x) = – dU(x) / dx.
Solution générale de (1) sans second membre : p(x) =Cste exp(F(x)/E x).
Solution particulière de (1) : p(x) = j0 E / (DF(x)).
Solution générale de (1) : p(x) =A exp(F(x)/E x) +
j0 E / (DF(x))
.
p(x) =A exp(-U(x) /
E ) + j0 E / (DF(x))
.
B(x) = -E / F(x) exp[U(x) / E].
E / F(x) = -B(x) exp[-U(x)
/ E].
p(x) =A exp(-U(x) /
E ) - j0 B(x)/
D exp(-U(x) / E).
p(x) =(A- j0 B(x)/
D )exp(-U(x) / E).
|
| .
. |
|
|
32. A l’état
stationnaire, la densité de probabilité suit la loi de Boltzmann qui
stipule que :
p(x)
= 1 / Z exp(-U(x) / (kT)) où 1/Z est une constante permettant de
satisfaire la condition d’unité, k est la constante de Boltzmann et T
est la température. Déduire les conditions permettant de mettre en
accord les deux expressions de p(x) données dans les questions 31 et 32.
On identifie : 1 / Z = A- j0 B(x)/
D et E = kT.
33. En déduire (i)
la valeur du flux de densité de probabilité à l’état stationnaire j0
et (ii)
l’expression du coefficient de diffusion D en fonction de k, T et g.
E
=D
g =
kT ; D = kT / g.
j0 = (A-1/ Z ) D / B(x).
34. En
s’aidant de la formule de la constante de frottement g = 6 p r h,
expliquer comment varie le coefficient de diffusion d’une particule en
fonction de sa taille et en fonction de la viscosité h du
milieu.
D = kT / ( 6 p r h).
Le coefficient de diffusion diminue si la taille de la particule et la
viscosité du milieu augmentent.
35. Un ion Na+
a un coefficient de diffusion DNa de 1,33 × 10–9 SI
à 25°C. Quel est le
rayon apparent de l’ion Na+ ? On prendra h =
0,89 mPa.s et kT = 4,12 × 10–21 J.
r = kT /
( 6 pDNa
h)
= 4,12 10-21 / (6*3,14 *1,33 10-9
*0,89 10-3)=1,8 10-10 m.
|
|
|
|
On
considère une boite unidimensionnelle dans laquelle est positionné un
mur réfléchissant à x = 0 et un mur absorbant à x = x0.
Par définition, p(x0) = 0. On place une molécule
à x = 0. On définit le temps de premier passage t0
comme le temps moyen nécessaire à une particule relâchée en x = 0 pour
parcourir la distance x0.
Une façon de calculer le temps de premier passage est d’imaginer qu’il
y a beaucoup de molécules dans la boite, et que chaque fois qu’une
molécule touche le mur absorbant elle est instantanément replacée à
l’origine. Au bout d’un moment, la distribution des molécules atteint
un état stationnaire et on peut montrer que dans ce cas le temps de
premier passage t0 peut s’écrire :
t0 = 1 /j(x0 )

36. Montrer qu’à
l’état stationnaire en l’absence de force externe :
p(x) = − 2x / x02 + 2 / x0.
p(x) =(A- j0 B(x)/
D )exp(-U(x) / E).
En absence de force externe : U(x) =0 ; exp(-U(x) / E) = 1
et B(x) = x +Cste.
p(x) =A- j0 (x+Cste)/
D.
p(x0) =0
= A- j0 x0/
D -j0 / D Cste ; A-j0 / Dcste = j0 x0
/ D.
p(x) = j0 x0
/ D -
j0 x
/ D. On pose x20 = 2D /j0.
p(x) = − 2x / x02
+ 2 / x0.
37. En déduire
l’expression de t0 en fonction de x0
et D.
j(x) =-D dp/dx (x) = 2D/ x02
; t0
= 1 /j(x0 ) =x02
/ (2D).
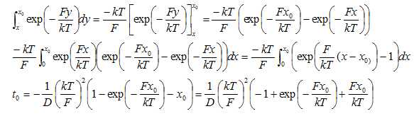
38.
Une solution générale pour le temps de premier passage t0
en présence d’une force externe F(x) est donnée par l’équation suivante
:

Montrer que l’expression du temps de premier passage t0
lorsque l’on applique une force F(x) = F constante s’écrit :

39.
On considère une protéine de coefficient de diffusion 67 × 10–12 SI.
Combien de temps mettra-t-elle pour parcourir 40 nm en l’absence de
force externe ?
t0
=x02
/ (2D) =(40 10-9)2
/(2*67
× 10–12) =1,2 10-5 s.
40.
On suppose maintenant une force F = 1 pN. Combien de temps mettra la
protéine pour parcourir 40 nm si elle se déplace dans le sens de la
force ? Combien de temps mettra la protéine pour parcourir 40 nm si
elle se déplace dans le sens inverse de la force. Commenter.
On prendra kT = 4,12 × 10–21 J.
(kT/F)2 / D =(4,12 10-21
/ 10-12)2/(67
× 10–12)=2,53 10-7.
exp(-Fx0/(kT)) = exp(-10-12
*40 10-9/(4,12
× 10–21))~ 6,075 10-5 ; Fx0/(kT)
=10-12 *40 10-9/(4,12
× 10–21 )=9,709 ;
t0 ~ 2,53 10-7*8,709=2,2
10-6 s.
Déplacement en sens inverse de la force : remplacer F par -F.
exp(+Fx0/(kT)) = exp(+10-12
*40 10-9/(4,12
× 10–21))~ 1,65 104 ; -Fx0/(kT)
=10-12 *40 10-9/(4,12
× 10–21 )= -9,709 ;
t0 ~ 2,53 10-7*1,645
104=4,2 10-3 s.
|
|
|
|