QCM
mécanique, thermique, concours Audioprothésiste Bordeaux 2019.
En
poursuivant votre navigation sur ce site, vous acceptez l’utilisation
de Cookies vous proposant des publicités adaptées à vos centres
d’intérêts.
|
|
Mécanique
Question 22
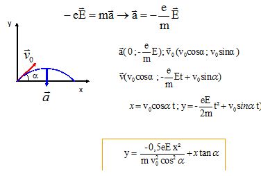
Un électron pénètre en O avec une vitesse v0
faisant un angle de 30 ° avec le plan horizontal dans un champ
électrostatique E = 57 kV / m, uniforme. ( longueur des armature
: 10 cm). La vitesse d'entrée de l'électron est v0 = 2,00 107
m /s. Le poids est négligé devant la force électrique.
L'équation horaire x(t) dans le système SI est :

A . x(t) = 1,73 107 t
+2,00 107.
x(t) = 2,00 107 cos(30) t =x(t) = 1,73 107
t.
B . x(t) = 1,73
107 t. Vrai.
C . x(t) =1,53
107 t.
D. x(t) =2,83
107 t.
E . x(t) =1,13
107 t.
Question 23
L'équation horaire en y dans le système SI est :
A. y(t) = 4,01 1015
t2 +1,42 107 t.
0,5a= -eE / (2m) =-1,6 10-19 x57 103 /(2 x9,1 10-31)
= -5,01 1015 m s-2. ; v0 sin 30 =1,00
107.
B . y(t) = -8,12 1015 t2
+3,15 107 t.
C y(t) = -4,01 1015 t2 +1,23107 t..
D . y(t) = -3,02 1015 t2 +1,00 107 t.
E . y(t) = -5,01 1015 t2 +1,00 107 t. Vrai.
Question
24
L'équation de la trajectoire est dans le système SI :
A .y(x) =-2,29 x2
+4,23 x.
tan 30 =0,577 ; -0,5a/(v0 cos 30)2 = -5,01
1015/(2,00 107xcos30)2 = -16,7.
B . y(x)
=-24,24 x2 +11,58 x.
C .y(x)
= -9,31 x2 +2,58 x.
D ..y(x)
= -16,7 x2 +0,58 x. Vrai.
E . y(x)
=-12,41 x2 +1,58 x.
Question 25
L'électron sort des plaques à l'ordonnée :
A 109 mm.
y(0,1) = -16,7 x0,01 +0,58 x0,1 = -0,109 m.
B . -109 mm. Vrai.
C 94 mm
D . -94 mm
E . -114 mm
Question 26
L'électron atteint son ordonnée maximale au temps:
A.8 ns.
La composante verticale de la vitesse est nulle.
0 = at +v0 sin(30) ; t =1,00 107
/ (2 x5,01 1015) =9,98 10-10 s = 0,998 ns.
B . 415 ns.
C . 422 ns
D .440.ns
E 0,998 ns. Vrai.
|
|
|
Question 27
L'ordonnée maximale de l'électron est :
A . 3,2 mm.
y(9,98 10-10) = -5,01 1015 (9,98 10-10)2 +1,00 107 x9,98 10-10=1=4,99
10-3 m = 4,99 mm
B
4,3 mm
C 15,2 mm
D . 5 mm. Vrai.
E .8,1 mm.
Question 28
L'ordonnée maximale est obtenue à l'abscisse :
A 17,3 mm. Vrai.
x(9,98
10-10) = 1,73
107 x9,98 10-10 =1,73 10-2 m = 17,3 mm.
B 18,1 mm
C
57,2 mm.
D 37,8 mm.
E . 43,3 mm.
Thermique.
On se propose de comparer les propriétés thermiques d'un simple vitrage
d'épaisseur 5 mm et d'un double vitrage constitué de deux vitres
d'épaisseur égale à 5 mm chacune séparées par une lame d'air de 1 cm
d'épaisseur sur une période de 150 jours.
Surface vitrée S = 15 m2 ; température extérieure Te = 5°C ; température intérieure Ti = 19°C ;
Conductivité thermique du verre : l = 1,2 W m-1K-1 ; de l'air l' = 0,025 ; prix du kWh 0,11 € HT ; TVA : 18,6 %.
.
Question 29
Calculer le flux thermique traversant le simple vitrage en ternant compte uniquement de la conduction thermique. A . 2100 W.
R = e / ( l S) =0,005 / (1,2 x15) =2,77 10-4 K W-1.
Flux thermique F = (Ti-Te) / R = (19-5) / (2,77 10-4) ~50400 W.
B . 50400 W. Vrai.
C .48100 W
D . 32400 W.
E . 75800 W.
Question
30 Calculer la résistance thermique du double vitrage. A . 18,2 mK / W. 0,01 / (1,2 x15) +0,01 /(0,025 x15) =0,0272 K W-1.
B . 37,2 mK / W
C . 17,3 mK / W.
D . 27,2 mK / W. Vrai.
E 23,5 mK / W
Question 31 Calculer le flux thermique traaversant le double vitrage.
A . 514 W. Vrai. (Ti-Te) / R = (19-5) / (0,0272) ~514 W.
B - 5040 W.
C 451 W
D 322 W
E 758 W.
|
|
|
|
Il faut tenir compte de la convection, la température de surface du matériau n'est pas égale à celle du milieu ambiant.
Ti-T'i = F /(hS). A l'intérieur hi = 9 W m-2 K-1 ; à l'extérieur he = 17 W m-2 K-1.
Question 32 Calculer la résistance thermique totale du simple vitrage en tenant compte de la conduction.
A . 46,2 mK / W.
2,77 10-4+1/(9 x15) +1 /(17 x15) = 0,0116 K / W.
B . 34,2 mK / W.
C . 11,6 mK / W. Vrai.
D . 25,3 mK / W.
E . 13,5 mK / W.
Question 33 Calculer le flux thermique traversant le simple vitrage.
A . 1210 W.
14 / 0,0116 ~1206 W.
B . 1340 W
C . 1412 W..
D . 1206 W. Vrai.
E 1758 W.
Question 34
Calculer les températures de surface du simple vitrage.
A 13,1°C et 10,7 °C.
Te +F /(he S) =5 +1206 /(17 x15) =9,7 °C.
Ti +F /(he S) =19 -1206 /(9 x15) =10,1°C.
B 16,1°C et 8,5 °C.
C 14,2 °C et 6,7 °C..
D 18,9 °C et 5,1 °C.
E 10,1°C et 9,7 °C.
Question 35 Calculer l'énergie consommée en 150 jours avec le simple vitrage en tenant compte de la conduction et de la convection.
A
. 2312 kWh.
1206 x150 x24 =4,342 106 Wh = 4342 kWh.
B.4342 kWh. Vrai.
C. 9584 kWh.
D. 3147 kWh
E. 6378 kWh.
Question 36 Calculer la résistance thermique totale du double vitrage en tenant compte de la conduction et de la convection.
0,0272+1/(9 x15) +1 /(17 x15) = 0,0386 K / W.
Réponse C.
Question 37.
Calculer le flux thermique traversant le double vitrage en tenant compte de la conduction et de la convection.
A. 214 W.
(19-5) / 0,0386=363 W.
B. 140 W
C. 451 W.
D. 322 W.
E. 363 W. Vrai.
|
|
Question 38.
Calculer les températures de surface du simple vitrage.
Te +F /(he S) =5 +363 /(17 x15) =6,4 °C.
Ti +F /(he S) =19 -363 /(9 x15) =16,3°C
.Réponse D.
Question 39 Calculer l'énergie consommée en 150 jours avec le simple vitrage en tenant compte de la conduction et de la convection.
A. 1307 kWh. Vrai.
363 x150 x24 =1,307 106 Wh = 1307 kWh.
B.
1802 kWh
C. 2109 kWh..
D .3147 kWh.
E. 4126 kWh.
Question 40 Quelle économie peut-on escompter en passant du simple au double vitrage ?
A. 196 €.
(4342-1307) x0,11 x1,186 =396 €.
B . 458 €
C . 256 €.
D. 396 €. Vrai.
E 512 €. . |
|