Mathématiques,
suite, géométrie, probabilités, bac Asie 2021.
En
poursuivant votre navigation sur ce site, vous acceptez l’utilisation
de Cookies vous proposant des publicités adaptées à vos centres
d’intérêts.
..
..
|
.
.
|
..
..
......
...
|
Suites.
En
2020, une influenceuse sur les réseaux sociaux compte 1 000 abonnés à
son profil. On modélise le nombre d’abonnés ainsi : chaque année, elle
perd 10% de ses abonnés auxquels s’ajoutent 250 nouveaux abonnés.
Pour tout entier naturel n, on note un le nombre d’abonnés à
son profil en l’année (2020+n), suivant cette modélisation. Ainsi u0
=1000.
1. Calculer u1.
u1=0,90 u0+250 = 0,9 x1000 +250 =1150.
2. Justifier que
pour tout entier naturel n, un+1 = 0,9un +250.
Chaque
année, elle perd 10% de ses abonnés soit 0,9 x un ;
auxquels s’ajoutent 250 nouveaux abonnés soit 0,9un
+250.
3. La
fonction Python nommée « suite » est définie ci-dessous. Dans le
contexte de l’exercice, interpréter la valeur renvoyée par suite(10).
def suite( n) :
u = 1 000
for i in range(n) :
u = 0,9*u + 250
return u.
Il s'agit du nombre d'abonnés en l'an 2020+10 = 2030.
4. a. Montrer, à
l’aide d’un raisonnement par récurrence, que pour tout entier naturel
n, un <
2500.
Initialisation
: u0 = 1000 <
2500, la propriété est vraie au rang zéro.
Hérédité :
la propriété est vraie au rang n.
un
< 2500.
Démontrons qu'elle est vraie au rang n+1 :
0,9 un <
0,9 x2500 ; 0,9 un < 2250 ; 0,9 un +250 < 2250 +250 ; 0,9 un
+250 < 2500 ; un+1
< 2500.
Conclusion
: la propriété est vraie au rang zéro et héréditaire, elle est donc
vraie pour tout entier n.
b. Démontrer que la suite (un)
est croissante.
un+1-un = 0,9un
+250- un = -0,1 un +250.
-0,1 un
+250 > -0,1 x2500
+250 =0.
un+1-un > 0 ; un+1
> un
. La suite est croissante.
c. Déduire
des questions précédentes que la suite (un) est convergente.
La suite est croissante et bornée, donc elle converge.
5. Soit (vn)
la suite définie par vn = un −2500 pour tout
entier naturel n.
a. Montrer que la
suite (vn) est une suite géométrique de raison 0,9 et de
terme initial v0 = −1500.
vn+1
= un+1 −2500 =0,9un
+250 -2500 = 0,9(un-2500) = 0,9 vn.
v0 =u0-2500 =1000 -2500 = -1500.
b. Pour tout entier naturel n,
exprimer vn en fonction de n et montrer que : un
= −1500×0,9n +2500.
vn = v0 x0,9n = -1500 x0,9n.
un
= vn +2500 =−1500×0,9n +2500.
c. Déterminer la
limite de la suite (un) et interpréter dans le contexte de
l’exercice.
-1 < 0,9 < 1 ; 0,9n tend vers zéro quand n tend vers
plus l'infini.
un tend vers 2500.
Au bout d'un grand nombre d'années, le nombre d'abonnés est égal à 2500.
6. Écrire un
programme qui permet de déterminer en quelle année le nombre d’abonnés
dépassera 2 200.
Déterminer cette année.
u =1000
n =0 while u < 2200
u = 0,9 *u+250.
n = n+1
Fin tant que return n
−1500×0,9n
+2500 > 2200 ;
−1500×0,9n
> -300 ;
1500×0,9n < 300 ;
0,9n
< 0,2 ;
n ln(0,9) < ln(0,2) ;
n < ln(0,2) / ln(0,9) ;
n > 15,27 soit 16. ( année 2020 +16 = 2036).
Géométrie.
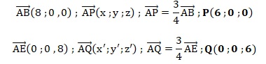
On considère un cube ABCDEFGH d’arête 8 cm et de centre W.

Partie I.
1. Dans ce repère,
on admet que les coordonnées du point R sont (8; 2; 8).
Donner les coordonnées des points P et Q.

2. Montrer que le
vecteur n de coordonnées (1 ; −5 ; 1) est un vecteur normal au plan
(PQR).

3. Justifier qu’une
équation cartésienne du plan (PQR) est x −5y +z −6 =0.
Le
vecteur n de coordonnées (1 ; −5 ; 1) est un vecteur normal au plan
(PQR).
Equation cartésienne de ce plan : x-5y+z+d=0.
P(6 ; 0 ; 0) appartient à ce plan : 6+d = 0 doit d = -6.
Equation
cartésienne du plan (PQR) est x −5y +z −6 =0.
Partie
II.
On note L le projeté orthogonal du point W sur le plan (PQR).
1. Justifier que
les coordonnées du point W
sont (4; 4; 4).
W est
le centre du cube de côté 8 cm et le sommet A est l'origine du repère.
2. Donner une
représentation paramétrique de la droite d perpendiculaire au plan
(PQR) et passant par W.
Le vecteur n de coordonnées (1 ; −5 ; 1) est un
vecteur directeur de la droite (d) et le centre du cube appartient à
cette droite.
Equation paramétrique de cette droite :
x = t +xW
; y = -5t +yW ; z = t
+zW
avec t réel.
x = t+4 ; y = -5t+4 ; z = t+4.
3. Montrer
que les coordonnées du point L sont ( 14 / 3 ; 2 / 3 ; 14 / 3).

L appartient au plan (PQR) d'équation cartésienne x
−5y +z −6 =0.
x-5(24-5x)+x-6 = 0 soit x = 126 / 27= 14 /3.
y = 24-5 *14/3 =24-70 / 3 = (72-70) / 3 = 2 /3.
4. Calculer la
distance du point W
au plan (PQR).
LW2
=(4-14 / 3)2 +(4-2 / 3)2 +(4-14 / 3)2 )=(-2 / 3)2 +(10 / 3)2 +(-2 / 3)2
)=108 / 9 = 12.
LW
=2 *3½.
|
...
|
....
|
Probabilités.
Un sac contient les huit lettres suivantes : A B C D E F G H (2
voyelles et 6 consonnes).
Un jeu consiste à tirer simultanément au hasard deux lettres dans ce
sac.
On gagne si le tirage est constitué d’une voyelle et d’une consonne.
1. Un joueur
extrait simultanément deux lettres du sac.
a. Déterminer le
nombre de tirages possibles.
C82 =8 x 7 / 2 = 28.
b. Déterminer la
probabilité que le joueur gagne à ce jeu.
AB ; AC ; AD ; AE ; AF ; AG ; AH ; BC ; BD ; BE ; BF ; BG ; BH ; CD : CE ; CF ; CG ; CH ; DE ; DF ; DG ; DH ; EF ; EG ; EH ; FG ; FH ; GH.
12 possibilités de gain sur 28 cas possibles.
12 / 28 = 3 / 7.
Les questions 2 et 3 de cet exercice sont indépendantes.
Pour la suite de l’exercice, on admet que la probabilité que le joueur
gagne est égale à 3 / 7.
2. Pour jouer, le
joueur doit payer k euros, k désignant un entier naturel non nul.
Si le joueur gagne, il remporte la somme de 10 euros, sinon il ne
remporte rien.
On note G la variable aléatoire égale au gain algébrique d’un joueur
(c’est-à-dire la somme remportée à laquelle on soustrait la somme
payée).
a. Déterminer la
loi de probabilité de G.
G
|
10-k
(on gagne)
|
-k
( on perd)
|
probabilité
|
3
/ 7
|
4/7
|
b. Quelle doit être
la valeur maximale de la somme payée au départ pour que le jeu reste
favorable au joueur ?
La moyenne des gain doit être positive : (10-k) 3 /7 -4k / 7 > 0.
(10-k) x3 -4k >0.
30-3k-4k >0
30 > 7 k ; k < 30 / 7 soit environ 4,29 €.
3. Dix joueurs font
chacun une partie. Les lettres tirées sont remises dans le sac après
chaque partie.
On note X la variable aléatoire égale au nombre de joueurs gagnants.
a. Justifier que X
suit une loi binomiale et donner ses paramètres.
Chaque tirage est indépendant des autres tirages et deux issues sont
possibles : on gagne ou on perd.
X suit la loi binomiale de paramètres n = 10 et p = 3 / 7.
b. Calculer la
probabilité, arrondie à 10−3, qu’il y ait exactement quatre
joueurs gagnants.
P(X = 4) = 0,247.
c. Calculer P(X
>5) en arrondissant à 10−3. Donner une interprétation du
résultat obtenu.
P(X >5) = 1-P(X <
5) = 1-0,782 =0,218.
La probabilité que plus de la moitié des joueurs gagne est égale à
0,218.
d. Déterminer le
plus petit entier naturel n tel que P(X < n) >0,9.
P(X < 6) =0,92 ; P(X < 5) =0,78 ; n =
6..
|
|