Capteur
de champ électrique,
Capes physique chimie 2021.
En
poursuivant votre navigation sur ce site, vous acceptez l’utilisation
de Cookies vous proposant des publicités adaptées à vos centres
d’intérêts.
..
..
|
....
|
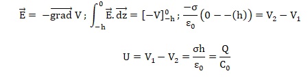
12. Le dispositif peut alors être représenté par le schéma
électrique suivant :

Déterminer l’équation différentielle vérifiée par
Um(t).
Loi des mailles : e(t) = uC(t) +Um(t).
Um(t)= Rc i(t) ; i(t) = C0dUc(t) / dt ; e(t) = hEext(t).
Dériver par rapport au temps :
de(t)/dt = duC(t) /dt +dUm(t)/ dt.
de(t)/dt = Um(t) / (RcC0) +dUm(t)/ dt.
13. Le champ électrique Eext(t) varie sinusoïdalement à la
pulsation ω = 2πf. On se place en régime sinusoïdal forcé. Montrer que,
si RC est très supérieure à une valeur limite Rlim, alors il est
possible d’écrire : Um(t) = K × Eext(t). Exprimer Rlim en fonction de
C0 et ω, puis la constante K en fonction des données. Sachant que h = 2
mm et que l’amplitude de Um(t) mesurée est 0,8 V, les normes de
sécurité sont-elles respectées pour l’habitation située en-dessous de
la ligne électrique étudiée ?
En notation complexe, l'équation différentielle s'écrit :
e(t) = hEext(t)ejwt ; Um(t) = Umejwt ;
de(t)/ dt =jw hEext(t)ejwt ; dUm(t)/dt =jw Umejwt .
jw hEext(t)ejwt =Umejwt / (RcC0) +jw Umejwt .
jw hEext(t) =Um / ( RcC0) +jw Um .
Um =hEext(t) / (1+ 1 /( jwRcC0).
Um =hEext / [1+1 / ( wRcC0)2]½.
On pose : Rlim =1/(wC0 ).
Si Rc >> Rlim : 1 / ( wRcC0) << 1 et Um =hEext.
Eext = Um / h =0,8 / (2 10-3) =400 V / m < 5 103 V / m ( seuil réglementaire).
|
|