Un
cadre métallique filiforme 𝐴𝐵𝐶𝐷, de forme carrée (côté 𝑎), est
abandonné sans vitesse initiale, par rapport au référentiel
ℛ du laboratoire supposé galiléen, dans le champ de pesanteur terrestre
supposé uniforme. Au cours de sa
chute, ce cadre pénètre soudainement, à un instant pris comme origine
du temps, dans une région, supposée illimitée, de
l’espace (𝑧 > 0) où règne un champ magnétique 𝐵 uniforme et
stationnaire.
Dans cet exercice,
on désignera par z
A la cote du point A. On considère en outre que
l’inductance propre du cadre est négligeable.
13. On oriente le cadre dans le sens trigonométrique.
On note t
1 l’instant à partir duquel le cadre se trouve
entièrement immergé dans la région 𝑧 > 0.
Quelle est l’expression
de la tension électromotrice (ou force électromotrice) e(t) induite au cours de la chute du cadre ?
Si t < 0 et si t
> t
1, le flux du champ magnétique B ne varie pas ; donc e(t) = 0.
Entre les dates t=0 et t =t
1, la surface (S = a z
A) du cadre plongé dans le champ magnétique varie. Il en sera de même du flux magnétique
F :

D'où l'apparition d'une fem e(t) = -d
F/dt = B a dz
A /dt = B a z
A z'
A. Réponse
B.
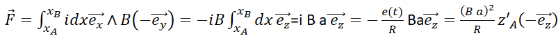
14. Le cadre métallique présente une résistance R. Déterminer l’expression de la force de Laplace F à laquelle est soumis
le cadre.
Aucun courant induit ne circule dans le cadre si t <0 et si t
> t
1. La force de Laplace est donc nulle.
Sinon un courant d'intensité i = e(t/ / R circule dans le cadre dans le sens positif choisi.
Dans DA, le courant descend et dans BC le courant monte : les forces de Laplace correspondantes se compensent.
Force de Laplace sur le côté AB :

Réponse
C.
15. Établir, par rapport à R, l’équation différentielle du mouvement de A, le cadre étant supposé être en translation
rectiligne, au cours de sa chute pour les instants compris entre l’instant initial et t
1
.
Le principe fondamental de la dynamique en projection sur l'axe Oz donne :
mg-(Ba)
2 / R z'
A = m z"
A.
z"
A+(Ba)
2 / (mR) z'
A =g.
On pose
t = mR/ (Ba)
2, constante de temps.
Réponse
B.
16. Calculer
t si B = 1 T, a = 5 cm, m=0,1 kg et R = 10 ohms.
t =0,1 x10 / (0,05)
2 =400 s. Réponse
B.