On
s’intéresse à la trajectoire et aux grandeurs cinématiques (vitesse,
accélération) de la valve d’une roue (centre 𝐶, rayon 𝑅)
de vélo dans le référentiel du laboratoire R. Cette valve est assimilée
à un point M. Le mouvement de M est analysé dans R ; on suppose qu’il
s’effectue dans le plan Oxy, où O est l’origine du repère cartésien ; x
et y désignent respectivement les coordonnées cartésiennes de M.
w est
une grandeur constante.
1. Quelle est
l’expression du vecteur vitesse v de M dans R ?
2. Déduire la norme du
vecteur vitesse.
v = Rw [(1-cos(wt))2 +sin2(wt)]½.
v = Rw [2(1-cos(wt))]½
= 2½Rw [1-cos(wt)]½
. Réponse B.
3. Quelle est
l'expression du vecteur accélération dans R ?
Dériver l'expression du vecteur vitesse par rapport au temps.
4. Parmi les
propositions suivantes, lesquelles sont exactes ?
A) La vitesse de M ne s’annule jamais.
B) L’accélération de M ne s’annule jamais.
Vrai.
C) Les composantes a
y et v
x s’annulent aux
mêmes instants.
D) La vitesse de M s’annule aux instants t = 2
p n /
w
où n est un entier naturel.
Vrai.
La norme du vecteur vitesse s'annule si cos (
wt) = 1.
wt = 2
pn ; t =
2 p n / w
où n est un entier naturel.
La composante ax de l'accélération de M s'annule si sin (wt) = 0 ; t = 2 p n / w
où n est un entier naturel.
La composante ay de l''accélération de M
s'annule si cos (wt) = 0 ; t = (2n+1) p /(2 w) où n est un entier
naturel.
Les deux composantes de l'accélération ne peuvent pas s'annuler
simultanément.
La composante vx de l'a vitesse de M
s'annule si cos (wt) = 0 ; t = 2 p n / w
où n est un entier naturel.
5. Quelle est la
distance parcourue par le centre C de la roue lorsque t =
2 p / w
?

A l'instant initial, la valve est en O, c'est à dire à la verticale du
point C.
A t = 2
p/
w, la valve se retouve à la
verticale de C.
Selon l'axe Ox, les points C et M ont avancé de la même distance 2
pR.
Réponse B.
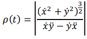
6. On appelle rayon
de courbure,
r(𝑡),
à la trajectoire en un point M à l’instant t, le rayon d’un cercle
tangent particulier appelé
cercle osculateur. Ce cercle unique " épouse au mieux la courbe en M" .
On admet que l’expression du rayon de courbure est, ici :

Donner l’expression de
r(t)
pour le mouvement de M.
Réponse D.