Partie 1.
On considère le signal s(t) ci-dessous :
Q1. L'expression de
s(t) est donnée par :
s(t) =0 si t < 0.
s(t) = -2t+4 si 0
<
t < 2.
s(t) = 0 si t
> 2.
Réponse E.
Q2. On représente
graphiquement s(-t) par :
s
1(t) =s(-t) = 2t+4
si -2 < t <
0 sinon 0. Réponse D.

Q3. On
représente la fonction g(t) = s(t) +s(-t).
g(t) = 2t+4 si -2 < t < 0 ; g(t) = -2t+4 si 0 < t < 2
sinon 0.
Réponse D.
Q4. A La fonction g(t) est paire car sa
courbe représentative est symétrique par rapport à l'axe des ordonnées.
Vrai.
B La fonction g(t) est paire car sa
courbe représentative est symétrique par rapport à l'axe des ordonnées.
Faux.
C. La fonction g(t)
est paire car g(-t) = g(t). Vrai.
D. La fonction
g(t) est paire car g(-t) = -g(t). Faux.
.
Q5. On rapelle que la définition de
la transformée de Fourier H(f) d'un signal h(t) est donnée par :
A. Pour un signal h(t) pair, on peut
écrire :
vrai
D.
Pour un signal h(t) impair, on
peut écrire :
vrai
Q6. On considère le
signal s
2(t) ci-dessous.

Le calcul de la transformée de Fourier donne :
Cette fonction est paire : pour t appartenant à [0 ; 2], s
2(t)
=4-2t ; pour t >2 : s
2(t) = 0.
Réponse C.
Q7. Le spectre de s
2(t)
est alors :
Q8.
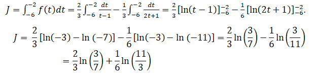
On considère l'intégrale :

Réponse A.
Partie II.
On considère deux nombres complexes
z
1 = x
1+iy
1 avex x
1 un
réel strictement positif et y
1 un réel quelconque.
z2 = r2
exp(-iq2)
avec r2 réel strictement positif.
Q9. La partie
réelle de z3 = z1* z2 est :
z2 = r2(cos (q2) + i sin(q2)).
Partie réelle de z3 : x1r2 cos (q2)-y1r2 sin (q2). Réponse E.
Q10. Un argument de
z4 = z1 / z2 est :
arg(z1)-arg(z2)=arctan( y1/x1)
-q2. Réponse B.
Q11. Le module de z5
= z2+z1 est :
z2 = r2(cos
(q2) + i sin(q2)).
z5 = x1+ r2
cos (q2) +i[y1+ r2
sin (q2)].
|
z5|
2=(
x1+ r2
cos (q2))
2
+(
y1+ r2
sin (q2))
2.
|z5| 2=x12+ r22 cos2 (q2) +2x1 r2
cos (q2) +y12+ r22 sin2 (q2) +2y1 r2
sin (q2) .
|z5| 2=x12+ r22 +2x1 r2
cos (q2) +y12+ 2y1 r2
sin (q2) . Réponse C.
Q12. Le module de z6
= exp(z1) est :
z6 = exp(z1)
=exp(x1+iy1) =exp(x1) * exp(iy1).
exp(x1) est un réel ; le module de exp(iy1) vaut 1.
|z6|
=exp(x1)
réponse B.