Aurélie 20/11/07
 

Unités ; radioactivité ; IR et RMN ; sécurité ; polarité des solvants; analyse thermique concours assistant d'ingénieur 2006 Rhone, Auvergne

En poursuivant votre navigation sur ce site, vous acceptez l’utilisation de Cookies vous proposant des publicités adaptés à vos centres d’intérêts.


. .
.
.

Les unités du système internationnal (S.I) 3 pts.

longueur : mètre m
masse : kilogramme kg
temps : seconde s
intensité du courant : ampère A
tension électrique : volt V
énergie : joule J
champ électrique : volt mètre -1 V m-1
champ magnétique : tesla T
force : newton N
vitesse linéaire : mètre seconde -1 m s-1
vitesse angulaire : radian seconde -1 rad s-1
puissance : watt W
pression : pascal Pa
volume : mètre3 m3
température : kelvin K

Radioactivité 3 pts.

L'élément iode I possède des nucléides isotopes radioactifs utilisés en médecine. Leurs période radioactive en heures (h) et en jours (j) est :

131I : 8 j ; 123I : 13 h.

Quel isotope choisiriez-vous pour la détection du fonctionnement de la thyroïde. Justifier.

Choisir l'isotope 123I de courte période pour une scintigraphie afin que ce dernier disparaisse de l'organisme assez rapidement. ( au bout de 5 ou 6 période, soit quelques jours)

Il faut aussi prendre en compte le coût de l'isotope.

Sachant que l'on fait ingérer au malade 1 mg d'iode,

déterminez la masse du radionucléide présente dans le corps au bout de quatre périodes.

Au bout d'une période, il reste 0,5 mg d'iode. Au bout de 2 périodes, il reste 0,25 mg d'iode.

Au bout de 3 périodes, il reste 0,125 mg d'iode.

Au bout de 4 périodes, il reste 0,0625 mg d'iode.


En radioprotection, la nocivité radioactive s'exprime en équivalent de dose (E.D).

Quelle est l'unité de cet E.D ?

Est-il fonction du rayonnement radioactif émis ?

 Lorsqu'un rayonnement pénètre la matière, il interagit avec celle-ci et lui transfert de l'énergie. La dose absorbée par la matière caractérise ce transfert d'énergie. L'unité de dose absorbée par la matière est le Gray ( Gy) qui est l'équivalent d'un joule absorbé par kilogramme de matière.

Tous les rayonnements n'ayant pas la même nocivité on définit un équivalent de dose dans lequel chaque type de rayonnement doit être pondéré pour tenir compte des différences. L'unité d'équivalent de dose est le sievert ( Sv).


 Identification d'un composé organique 6pts.

Un composé organique de formule brute CxHyOz conduit à l'analyse élémentaire suivante :

C : 69,7 % ; H : 11,7 %.

Le spectre de masse de ce composé présente en impact électronique un ion moléculaire à m/e =86.

Déterminer la formule brute de ce composé.

Masse molaire M= 86 g/mol.

12 x/ 69,7 = 86/100 soit x = 0,86*69,7/12 = 5.

y/11,7 = 0,86 soit y = 0,86*11,7 = 10

%O : 100-69,7-11,7 = 18,6% ; 16z/18,6 = 0,86 soit z = 0,86*18,6/16 = 1

C5H10O.

 On donne les spectres IR et RMN de ce composé :

Proposez une formule semi-développée et donnez son nom.



Pratiques de laboratoire et sécurité 5 pts.

Quels sont les différents types d'extincteurs présents dans un laboratoire ?

Les feux sont classés en 4 classes: A : feux de solides ; B : feux de liquides ; C : feux de gaz ; D : feux de métaux. On y ajoute les feux d'origine électrique E.
agents extincteurs
type de feux
A
B
C
D
E
eau pulvérisée
X





eau pulvérisée avec additif AFFF
X
X




poudre BC
X
X
X



poudre ABC
X
X
X



poudre spéciale




X


dioxyde de carbone CO2



X


X
Que faire devant un collègue ayant des vétements en feu ?

devant un collègue ayant les vétements en feu : le couvrir d'une couverture pour étouffer le feu.


Les réactions en chimie organique se font souvent avec des solvants anhydres. On veur sécher du tétrahydrofuranne ( Eb=66°C) par distillation sur sodium.
Précautions à prendre : absence d'eau en quantité trop importante ( présséchage du solvant sur MgSO4 anhydre), le sodium réagit violemment avec l'eau

Absence de flamme : les solvants sont inflammables.
Eliminer les résidus de sodium après distillation : en présence d'éthanol absolu, le sodium donne un alcoolate C2H5O-; Na+.


Chimie générale 5 pts.

 Vous disposez des solvants suivants :

acétate d'éthyle, acétonitrile, dichlorométhane, eau, éther éthylique, hexane, méthanol.

Donnez leurs formules semi-développées.

Classez les par ordre de polarité croissante.




4 pts.

Expliquez en quelques mots les acronymes ATG et DSC. Décrivez ces méthodes.

ATG : analyse thermique gravimétrique.

Mesure des variations de masse d'un échantillon au cours de son chauffage.

Balance de précision placée dans un four dont la température augmente linéairement en fonction du temps.

DSC : differential scanning calorimetry ; calorimétrie différentielle à balayage

Mesure les différences des échanges de chaleur entre un échantillon à analyser et une référence.

On enregistre en fonction de la température la différence d'énergie absorbée entre une substance et un corps de référence, tous deux soumis à la même augmentation de température.

Chromatographie d'exlusion stérique.

Décrivez briévement le principe :

But : mesure des masses molaires moyennes des polymères

La séparation des macromolécules est basée sur leur taille.

Les colonnes sont remplies de billes poreuses : les petites molécules sont retenues tandis que les plus grossest éluent assez rapidement.

Détecteurs : viscosimètres, photomètres.

Solvants : THF, toluène.

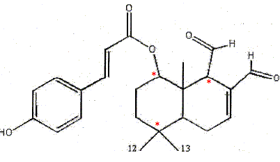
Structure et chiralité :

Donnez la formule brute de la molécule suivante :

C24 H28O5.

Combien y a t-il de centres d'asymétrie ?

carbone tétragonal relié à 4 substituants différents.

3 centres d'asymétrie donc 23 isomères théoriques.

Quelles sont les valeurs approchées des déplacements chimiques des protons aromatiques ?

déblindage vers les champs faibles : d =7,2.


retour -menu