Aurélie 02/09/08
 

 

eau de Javel ; aspartame ; radioactivité iode 123 bac SMS Nlle Calédonie 2007. 


. .


Aspartame :

L'aspartame est un édulcorant communément appelé sucrette. Lors de la digestion, l'aspartame s'hydrolyse dans l'estomac. Les produits de la réaction sont deux acides a-aminés ( dont la phénylalanine) et du méthanol.

La formule semi-développée de la phénylalanine est :

Entourer et nommer les groupes fonctionnels que vous connaissez.

 


Cette molécule est-elle un acide aminé ou un dipeptide ? Justifier.

acide a-aminé : présence des groupes amine et acide carboxylique, portés par le même carbone.

Absence du groupe -CO-NH- caractéristique d'un dipeptide : ce n'est pas un dipeptide.


La molécule de phénylalanine contient un atome de carbone asymétrique.

Repérer l'atome de carbone asymétrique par un astérisque

.

La phénylalanine présente deux configurations D et L.

Représenter la configuration L de la phénylalanine en projection de Fischer.

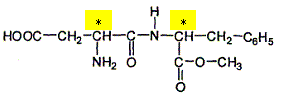
La formule semi-développée de l'aspartame est :

Recopier la formule et repérer clairement les groupes ester et amide.

La liaison peptidique est un cas particulier d'un groupe fonctionnel : lequel ?

La liaison peptidique est un cas particulier du groupe amide.

Sur la formule semi-développée de l'aspartame, noter d'un astérisque les carbones asymétriques.

Un atome de carbone asymétrique :

- est un atome de carbone tétragonal ( 4 directions de liaison)

- les 4 substituants ( groupes liés à ce carbone) sont différents.





Eau de javel.

On appelle degré ou titre chlorométrique d'une eau de Javel le volume de dichlore, mesuré en litres dans les conditions normales de température et de pression, nécessaire à la fabrication d'un litre de cette eau de Javel.

Le volume molaire dans les CNTP est : Vm=22,4 L/mol.

On considère un berlingot d'eau de javel de volume V= 250 mL; le degré chlorométrique est t= 48°chl.

En déduire le volume de gaz dichlore Cl2 que peut libérer le berlingot de volume 250 mL.

48 L de dichlore par litre d'eau de Javel titrant 48°chl.

Or 250 mL =0,25 L d'où : 48*0,25 = 12 L.


La solution contenue dans ce berlingot étant trop concentrée, on la dilue en la versant dans 750 mL d'eau. On obtient 1 L de solution prête à l'emploi.

Calculer le degré chlorométrique td du litre d'eau de javel obtenu.

Le facteur de dilution est égal à : volume final / volume du berlingot =1000 / 250 = 4 ( dilution au quart)

La solution prête à lemploi est 4 fois moins concentrée que celle du berlingot, d'où td =48/4 = 12°chl.

L'étiquette met en garde l'utilisateur sur les risques encourus lors de l'emploi de l'eau de javel : " au contact d'un acide, dégage un gaz toxique".

L'équation bilan de la réaction est : 

ClO- + Cl- + 2 H+ = Cl2 + H2O.

Donner le nom et la formule chimique de ce gaz toxique. Cl2 : dichlore.

On admet que toute la quantité des ions hypochlorite présents dans le berlingot, soit n = 0,54 mol, ont réagi avec l'acide chlorhydrique.

Quel volume de gaz s'est dégagé ?

A partir d'une mole d'ion hypochlorite ClO- il se forme 1 mol de dichlore Cl2:

V = n Vm avec n = 0,54 mol ; V= 0,54*22,4 = 12 L.

Oxydation des ions iodure I- par l'eau de Javel.

Dans une solution d'iodure de potassium ajoutons quelques gouttes d'eau de Javel.

Les couples oxydant / réducteur intervenant sont ClO-/Cl- et I2/I-.

Ecrire la demi équation électronique propre au couple I2/I-.

2I- = I2 + 2e-.(1)

Lademi-équation électronique en milieu basique du couple oxydant/réducteur ClO-/Cl- est :

ClO- + H2O +2 e- = Cl- + 2HO-(2)

Retrouver l'quation de la réaction entre les ions iodure et les ions hypochlorite qui s'écrit :

ClO- + H2O +2 I- = Cl- + I2 + 2HO-.

(1) + (2) donne : 2I- +ClO- + H2O +2 e- = I2 + 2e- + Cl- + 2HO-.

Après simplification : ClO- + H2O +2 I- = Cl- + I2 + 2HO-.




Radioactivité.

L'iode 123 est noté 12353I. Cet isotope est utlisé pour réaliser des explorations fonctionnelles de la thyroïde.

Qu'appelle t-on isotope ?

Ils ont le même numéro atomique Z, mais des nombres de neutrons différents.

Que représente le nombre 123.

nombre de nucléons, protons et neutrons.

Que représente le nombre 53.

nombre de protons, nombre de charge ou numéro atomique.

Quelle est la composition du noyau d'iode 123 ?

53 protons ; 123-53 = 70 neutrons.

Cet isotope est radioactif. Citer deux effets de la radioactivité sur le corps humain ?

Effets biologiques possibles sur le corps humain, après une exposition prolongée :

cancers, stérilité ; mutations biologiques ; malformations du fœtus chez la femme enceinte, leucémies

Comment se protéger des effets nocifs de la radioactivité ?

- s’éloigner de la source de rayonnements

- mettre un ou plusieurs écrans entre la source de rayonnements et les personnes. (des parois en plomb, en béton).

- diminuer au maximum la durée de l’exposition aux rayonnements..

 




Demi-vie ou période.

la demi-vie ou période radioactive de l'iode 123 est de 13 heures.

Donner la défintion du terme demi-vie ou période.

Durée au bout de laquelle l'activité initiale est divisée par deux.

Au bout de combien de temps peut-on considérer que l'échantillon contenant de l'iode 123 est inactif ?

durée ( heures)
0
13
2*13=26
3*13=39
4*13=52
5*13=65
6*13=78
7*13=91
8*13 =104
activité résiduelle
100
50
25
12,5
6,75
3,8
1,9
~1
~0,5
Au bout d'une centaine d'heures, l'échantillon peut être considéré comme inactif.

Un autre isotope est utilisé en thérapie : c'est l'iode 131. Lors de la transformation radioactive de l'iode 131 il y a émission d'un électron noté 0-1e.

Comment se nomme le rayonnement dû à l'émission d'électrons ? b-.

Compléter l'équation de désintégration de l'iode 131 et identifier le noyau fils.

51Sb ( antimoine) ; 52Te ( tellure) ; 53I ( iode) ; 54Xe ( xénon).

13153I--> AZX + 0-1e.

Conservation de la charge : 53=Z-1 d'où Z=54 ; on identifie X au xénon.

Conservation du nombre de nucléons : 131=A+0

13153I--> 13154Xe + 0-1e.



retour -menu