Aurélie 18/12/07
 

Chimie organique : synthèse d'un composé azoté concours Mines 06

sans calculatrice.

En poursuivant votre navigation sur ce site, vous acceptez l’utilisation de Cookies vous proposant des publicités adaptées à vos centres d’intérêts.


. .
.
.

On se propose de synthétiser la molécule I ci-dessous à partir du 1-bromo-4-méthylbenzène, noté A.

Préliminaire

Le benzène peut être hydrogéné par le dihydrogène gazeux à pression et température élevées. On obtient le cyclohexane.

Ecrire l’équation de la réaction.

C6H6 + 3H2 = C6H12.

Dans les mêmes conditions, on peut hydrogéner A. Combien la molécule obtenue possède-t-elle de stéréoisomères de configuration ?

Quelle relation d’isomérie lie ces stéréoisomères ?

Représenter chacun d’eux en perspective dans sa conformation la plus stable. Justifier. Les nommer et préciser leur configuration relative cis ou trans.

 Deux diastéréoisomères. Il n'y a pas de carbone asymétrique, donc pas d'énantiomères.

Le substituant le plus volumineux se place en position équatoriale, dans la conformation la plus stable ; dans l'hypothèse où il s'agit du méthyle :

dans l'hypothèse où il s'agit du brome :

Etude de la synthèse

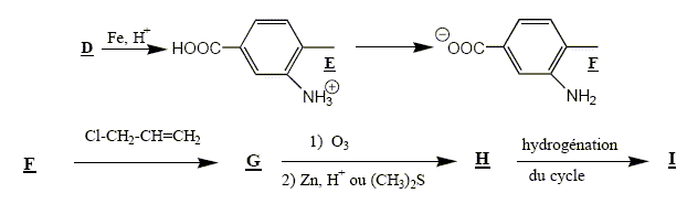
Pour obtenir le composé I on réalise la suite de transformations suivantes :

 


Ecrire les formules topologiques des composés B et C.  

Sous quel état physique utilise-t-on le dioxyde de carbone dans le passage de B à C. Quel est l'intèrêt d'être en milieu acide au cours de l'hydrolyse ?

Donner un schéma réactionnel pour la réaction entre B et le dioxyde de carbone, ainsi que l’équation de l’hydrolyse acide.

Le dioxyde de carbone est solide.

On évite la formation du solide Mg(OH)2. Il est ainsi plus commode de séparer la phase aqueuse et la phase organique.

Le composé C étant solide, citer une méthode expérimentale permettant de l'identifier.

Mesurer la température de fusion à l'aide d'un banc Kofler.

 

 


 Au cours de la réaction D--> E, le fer est oxydé en ions Fe2+.

Ecrire l'équation associée à cette réaction.

3 fois [ Fe = Fe2+ + 2e-] 

R-NO2 +6e- + 7H+ =RNH3+ + 2H2O

R-NO2 + 7H+ + 3Fe =3 Fe2+ +RNH3+ + 2H2O.

A quel type de réaction appartient la transformation E-->F ?

Il s'agit d'une raction acide base.

Ecrire une formule mésomère du composé F faisant intervenir le doublet non liant de l'azote.

En déduire si F est meilleur ou moins bon nucléophile que la méthylamine CH3-NH2. Justifier.

Dans le composé F, le doublet libre de l'azote est engagé ( délocalisé) avec les électrons du cycle benzénique. Ce doublet est donc peu disponible.

F est moins bon nucléophile que la méthylamine.




L’action de F sur Cl-CH2-CH=CH2 en excès conduit en fait à un mélange de produits liquides.

Comment peut-on séparer au laboratoire un mélange de 2 liquides miscibles ?

par distillation fractionnée.

Sachant que G résulte de l’action de 2 molécules Cl-CH2-CH=CH2 sur F, donner la représentation topologique de G ainsi que le mécanisme de sa formation

(On pourra pour le mécanisme, symboliser F par R-NH2 et le dérivé chloré par R’-CH2-Cl).

 



Comment appelle-t-on la transformation G-->H ? Donner la représentation topologique de H.

ozonolyse d'une liaison double carbone carbone.

Quel autre composé carbonyle obtient-on au cours de la transformation ?

méthanal H2CO.

En l'absence de zinc ou de diméthylsulfure, quels auraient été les produits de la réaction ?

les fonctions aldehydes auraient été oxydées en acide carboxyliques.

le méthanal aurait conduit à CO2.

Combien de stéréoisomères de configuration possède le composé I ? Justifier.

On représentera le stéréoisomère dont tous les descripteurs stéréochimiques sont rectus.

 3 atomes de carbone asymétriques : 23 = 8 isomères.

 



retour -menu