Aurélie 29/01/08
 

 

Thermodynamique : moteur Diesel concours Mines 07

En poursuivant votre navigation sur ce site, vous acceptez l’utilisation de Cookies vous proposant des publicités adaptées à vos centres d’intérêts.


. .
.
.

Les moteurs Diesel actuels fonctionnent suivant un cycle théorique modifié appelé cycle de Sabathé : la combustion s'effectue en deux étapes. Il est constitué des transformations suivantes :

A-B : compression adiabatique réversible

B-C : combustion isochore

C-D : combustion isobare réversible

D-E : détente adiabatique réversible

E-A : détente isochore.

On considère n moles de gaz supposé parfait décrivant le cycle et on pose :

g= Cp,m /Cv,m avec Cp,m et Cv,m les capacités thermiques molaires à pression et volume constants

a = VA /VB : rapport volumétrique de compression

b = VD /VC : rapport volumétrique de combustion

d = PC /PB : rapport de surpression de combustion

Chaque état i sera caractérisé par Pi, Vi et Ti respectivement pression, volume et température.


 Exprimer PB en fonction de PA, a et g.

La transformation A--> B est adiabatique réversible.

PAVAg=PBVBg.

PB = PA[VA/VB]g ; PB =PAag.

Exprimer TB en fonction de TA, a et g.

 


 




Déterminer les transferts thermiques échangés par n moles de gaz au cours de chaque transformation QAB , QBC , QCD , QDE , QEA en fonction des températures TA , TB , TC , TD , TE , des capacités thermiques molaires Cv,m , Cp,m et de n.

A-B : compression adiabatique réversible donc QAB=0.

B-C : combustion isochore :

le travail échangé est nul ; la variation d'énergie interne du gaz est égal à QBC.

L'énergie interne d'un gaz parfait ne dépend que de la température d'où QBC = nCv,m (TC-TB).

C-D : combustion isobare réversible

La variation d'enthalpie est égale à QCD.

QCD = n Cp,m( TD-TC).

D-E : détente adiabatique réversible donc QDE=0.

E-A : détente isochore :

le travail échangé est nul ; la variation d'énergie interne du gaz est égal à QEA.

L'énergie interne d'un gaz parfait ne dépend que de la température d'où QEA = nCv,m (TA-TE).


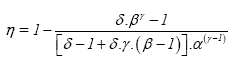
Après avoir défini le rendement thermodynamique (ou efficacité thermodynamique) pour un moteur que l’on notera h, l’exprimer en fonction des températures et de g.

rendement = travail fourni / énergie prélevée à la source chaude.

h = -W / (QBC + QCD).

Travail fourni au cours du cycle : W

énergie mise en jeu au cours du cycle : QBC + QCD + QEA.

La variation d'énergie interne est nulle sur le cycle : W+QBC + QCD + QEA=0

-W = QBC + QCD + QEA

h= [QBC + QCD + QEA] / [QBC + QCD] = 1+QEA / [QBC + QCD]

 



Montrer que h peut se mettre sous la forme :

Il faut exprimer toutes les températures en fonction de TA afin de pouvoir simplifier numérateur et dénominateur par TA :

TB= TA ag-1.

La transformation BC est isochore d'où : PC/TC=PB/TB soit PC/PB=TC/TB = d.

TC= dTB = dTA ag-1.

La transformation CD est isobare d'où : VC/TC=VD/TD soit VD/VC=TD/TC = b.

TD= bTC = bdTA ag-1.

La transformation DE est adiabatique réversible : TE VEg-1 = TD VDg-1.

La transformation EA est isochore : VE = VAsoit TE VAg-1 = TD VDg-1.

TE = TD [VD /VA ]g-1.

Or a = VA /VB ; b = VD /VC ; VB =VC d'où VD /VA = b / a.

par suite : TE = TD [b / a ]g-1 = bgdTA.


TA-TE = TA[ 1-bgd]

TC-TB = dTA ag-1-TA ag-1 = TA[ d -1]ag-1.

TD-TC = bdTA ag-1- dTA ag-1 =TA[ b -1]dag-1.

g(TD-TC) =TA[ b -1]dgag-1.





retour -menu