Aurélie 09/04/09
 

 

Acide valérique concours kiné Ceerrf 2009.

En poursuivant votre navigation sur ce site, vous acceptez l’utilisation de Cookies vous proposant des publicités adaptées à vos centres d’intérêts.

. .
.
.

L'acide valérique est le nom courant d'un acide carboxylique présent en grande quantité dans les racines d'une plante, la valériane. On donne quelques caractéristiques de cet acide ( qu'on notera AH par la suite) :

M= 102 g/mol ; température de fusion : -35 °C ; températue d'ébullition : 186 °C ;

densité à 20 °C : d = 0,94 ; solubilité dans l'eau à 20 °C : s = 33 g/L.

Dans l'industrie on synthètise l'acide valérique par oxydation ménagée d'un alcool qu'on notera B. Le nom courant de B est alcool "amylique", sa formule est C5H12O et sa chaine carbonée est linéaire.

Donner le nom et la formule d'un réactif qui pourrait permettre l'oxydation ménagée de B en AH.

Permanganate de potassium en milieu acide ; KMnO4.

Expliquer pourquoi B ne peut être que le pental-1-ol, d'après ce qui est écrit plus haut.

La chaine carbonée est linéaire et seul un alcool primaire peut conduire par oxydation ménagée à un acide carboxylique.

 


En déduire la formule semi-développée et le nom de l'acide valérique.

CH3-CH2-CH2-CH2-COOH acide pentanoïque

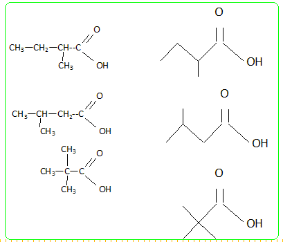
Donner le nom et la formule semi-développée de tous les acides carboxyliques isomères de AH.

CH3-CH2-CH (CH3)-COOH acide 2-méthylbutanoïque

CH3-CH (CH3)-CH2-COOH acide 3-méthylbutanoïque

(CH3)3C-COOH acide 2,2-diméthylpropanoïque.





Pour extraire l'acide valérique de la racine de valériane on propose le protocole suivant :

Etape 1 : introduire dans un ballon la racine de valériane hachée menu, ajouter 100 mL d'eau et des grains de pierre ponce. Placer le ballon dans un chauffe ballon et surmonter le ballon d'un réfrigérant à eau.

Etape 2 : porter le mélange à ébullition et maintenir l'ébullition durant 30 min.

Etape 3 : refroidir à 20 °C puis filtrer le contenu du ballon.

Faire un schéma du montage de l'étape 2 en indiquant le sens de circulation de l'eau dans le réfrigérant. Comment s'appelle ce montage ?

Chauffage à reflux :

 




 


Le volume du filtrat recueilli est environ 100 mL et c'est un liquide homogène.

Est-il possible qu'au cours de la manipulation, 5 g d'acide valérique AH est été extrtaits ? Justifier.

A 20 °C la solubilité de l'acide valérique dans l'eau est 33 g / L soit 3,3 g dans 100 mL.

Le filtrat homogène ne peut pas contenir 5 g d'acide valérique.

La température ambiante est de 20 °C. On dispose d'acide valérique AH supposé pur. On en prélève 1,00 mL que l'on dissout dans de l'eau distillée. Le volume de la solution S préparée est 1,00 L.

On réalise le titrage de V = 10,0 mL de la solution S par une solution aqueuse d'hydroxyde de sodium de concentration c' = 1,00 10-2 mol/L. Le volume versé à l'équivalence est VE = 9,2 mL.

Dans quel état physique l'acide valérique se trouve t-il ? Justifier.

 Le solide fond à -35 °C ; le liquide s'évapore à 186 °C : à 20°C l'acide valérique est un liquide.

Donner le nom et le schéma de l'instrument qui a permis de prélever 1,00 mL de AH.

Pipette jaugée de 1,00 mL

Donner le nom et le schéma de l'instrument qui a permis de préparer 1,00 L de solution S.

Fiole jaugée de 1,00 L :




Etablir l'expression de la concentration c de la solution S en fonction de V, c' et VE. En déduire la valeur de c.

AH + HO- = A- + H2O.

A l'équivalence les quantités de matière des réactifs mis en présence sont en proportions stoechiométrique

cV = c' VE ; c = c' VE /V = 1,00 10-2 * 9,2 / 10 = 9,2 10-3 mol/L.

L'acide valérique utilisé était -il réellement pur ? Justifier.

masse d'acide AH dans 1 mL : volume (mL) * densité = 1,00 */ 0,94 = 0,94 g

n=m/M = 0,94 / 102 = 9,2 10-3 mol dans 1 L : l'acide AH est pur.


c

retour -menu