Aurélie 02/02

stéréochimie : énantiomères- diastéréoisomères

En poursuivant votre navigation sur ce site, vous acceptez l’utilisation de Cookies vous proposant des publicités adaptées à vos centres d’intérêts.



. .
.
.


On considère la molécule A : H3C-CH=CH-CHOH-CH3

  1. Quels types d'isoméries configurationnelles peut présenter le compsé A?
    - Combien de stéréoisomères peut-on dénombrer ?
    - Les représenter.
  2. On traite A par du dihydrogène en présence d'un catalyseur comme le nickel.
    - Ecrire l'équation bilan de la réaction.
    - Nommer le produit B obtenu.
    - Sous combien de configurations différentes peut-il exister ?
    - Quel volume de dihydrogène, mesuré dans les conditions normales de température et de pression, est nécessaire pour réaliser l'hydrogénation de 4,3 g de A?
  3. On traite B par une solution de permanganate de potassium acidifiéé par de l'acide sulfurique. Ecrire l'équation bilan de la réaction sachant que :
    MnO4- + 8H+ + 5e- = Mn2+ + 4H2O
    C5H12O = C5H10O+ 2H+ + 2e-
    - Nommer le produit C obtenu.
    - Sous combien de configurations différentes peut-il exister ?
    - Ecrire les isomères de C. Les nommer. Se limiter aux dérivés possédant le groupe carbonyl >C=O

masse atomique molaire (g/mol) : C=12 ; H=1 ; O=16.

 


.
.


corrigé
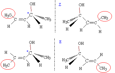
existence d'un carbone asymétrique ( celui qui porte le groupe OH) donc deux isomères optiques( énantiomères)

existence d'une liaison double avec des groupes différents sur les carbones doublement liés donc isomérie Z E

( diastéréoisomères)

au total 4 isomères


addition de H2 sur la liaison double C=C :

H3C-CH=CH-CHOH-CH3 + H2 donne H3C-CH2-CH2-CHOH-CH3 pentan-2-ol

deux énantiomères du fait du carbone asymétrique.

masse molaire de A : C5H10O : 86 g/mol

Qté de matière de A (mol) : 4,3 /86 = 0,05 mol

donc 0,05 mol H2 ou 0,05*22,4 = 1,12 L.


oxydation ménagée de l'alcool secondaire en cétone :

2 fois{MnO4- + 8H+ + 5e- = Mn2+ + 4H2O }
5 fois{ C5H12O = C5H10O+ 2H+ + 2e- }

2 MnO4- + 6H++ 5 C5H12O --> 5 C5H10O + 8H2O + 2 Mn2+

H3C-CH2-CH2-CO-CH3 pentan-2-one

une seule configuration ( plus de carbone asymétrique)

isomères : H3C-CH2-CO-CH2-CH3 pentan-3-one

H3C-CH2-CH2-CH2 -CHO pentanal





à suivre ...

retour - menu

à bientôt ...