1.
Recopier la bonne réponse.
La somme suivante
est égale à :

L'équation 5x+12 = 3 a pour solution :
5x = 3-12 ; x = -9 / 5= -1,8. Réponse
C.
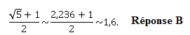
Une valeur approchée au dixième près du nombre suivant est :
2. Avec un logiciel
de géométrie, on exécute le programme suivant :
Construire un carré ABCD.
Tracer le cercle de centre A et de rayon [AC]
Placer le point E à l'intersection du cercle et de la demi-droite (aB).
Construire le carré DEFG.
1. Réaliser la
construction avec AB = 3 cm.
2. Dans cette
question AB = 10 cm.
a. Montrer que AC =
racine carrée (200) cm.
ABC est un triangle rectangle isocèle en B.
AC
2 = AB
2 +BC
2 = 10
2 +10
2
= 200 ; AC = racine carrée (200) cm.
b. Expliquer
pourquoi AE = racine carrée (200) cm.
AC et AE sont les rayons d'un même cercle.
c. Montrer que
l'aire du carré DEFG est le triple de l'aire du carré ABC.
Aire du carré ABC = 10 x10 = 100 cm
2.
Le triangle DAE est rectangle en A.
DE
2 = AD
2 +AE
2 = 10
2 +200
=300 cm
2.
L'aire du carré DEFG est égale à DE
2 = 300 cm
2.
3. On admet pour
cette question que pour n'importe quelle longueur du côté (AB], l'aire
du carré DEFG est toujours le triple de l'aire du carré ABCD.
On souhaite obtenir un carré DEFG ayant une aire de 48 cm
2.
Quelle longueur AB faut-il choisir ?
Aire du carré ABCD = 48 / 3 = 16 cm
2. AB = 4 cm.