Décomposer en éléments simples une fraction rationnelle.
En poursuivant votre navigation sur ce site, vous acceptez l’utilisation de Cookies vous proposant des publicités adaptées à vos centres d’intérêts.
|
|
|
Exemple 1. Factorier le polynome : P(x) = x3-3x+2.
P(1) = 0 ; P(x) = (x-1)(ax2+bx+c). Développer : P(x) =ax3+bx2+cx -ax2-bx-c =ax3+(b-a)x2+(c-b)x -c = x3-3x+2. On identifie : a=1 ; c=-2 ; b=1. P(x) = (x-1)(x2+x-2). x2+x-2= (x-1)(dx+e)) = dx2-dx+ex-e = dx2+x(e-d)-e. On identifie : d=1 et e =2. Par suite P(x) = (x-1)2(x+2).
Décomposer en éléments simples la fraction rationnelle :
Le degré du polynome figurant au numérateur étant supérieur à celui du polynome figurant au dénominateur, faire la division.

Réduire au même dénominateur ; le numérateur vaut :
N= a(x+2) +b(x-1)(x+2) +c(x-1) 2=ax+2a+bx 2+bx-2b+cx 2-2cx+c =(b+c)x 2+a+b-2c)x+2a-2b+c. Identifier : (b+c)x2+(a+b-2c)x+2a-2b+c =3x2-2x. b+c=3 ; a+b-2c =-2 ; 2a-2b+c=0. éliminer b : a+3-3c=-2 ; 2a-6+3c=0. éliminer c : a =-5+3c ; -10+6c-6+3c=0 , c = 9c = 16 , c = 16/9. par suite a = 3/9 et b = 11/9.

|
|
|
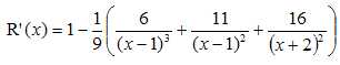
En déduire la décomposition en éléments simples de la dérivée de R(x). Dérivée de x : 1. Dérivée de (x-1)-2 : -2(x-1)-3. Dérivée de (x-1)-1 : -(x-1)-2. Dérivée de (x+2)-1 : -(x+2)-2.
 |
.
.
|